Học ngay
Học ngay
Học ngay
Học ngay
Học ngay
Học ngay
Học ngay
Học ngay
Học ngay
Học ngay
Học ngay
Học ngay
Công cụ học tập
Khám phá ngay
Môn Toán - Lớp 12
Câu hỏi:
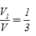
A
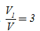
B
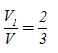
C
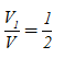
D
Lời giải chi tiết:
A
Quảng cáo
Câu hỏi trước
Câu hỏi tiếp theo
Luyện Bài Tập Trắc nghiệm Toán 12 - Xem ngay